
Spielüberblick
Este jogo tem por objetivo servir de ferramenta para o estudo das cinco principais estratégias de resolução de integrais: integral elementar (direta), substituição de variáveis, integração por partes, expansão por frações parciais e substituição trigonométrica.
Ele pode ser utilizado individualmente ou em grupos com até 4 pessoas e possui dois níveis:
a) Flashcard: Nesse nível, é apresentada uma integral e o jogador deve acertar o tipo de técnica de integração a ser utilizada. Caso um determinado problema possa ser resolvido por mais de uma técnica, deve-se adotar a opção que aparece primeiro na lista. A cada rodada, um jogador coloca (automaticamente) uma de suas cartas na mesa e, caso o jogador acerte a técnica de resolução, a carta permanece na mesa. Caso o jogador escolha a opção incorreta, ele pega todas as cartas que estiverem na mesa. Ganha o jogo aquele que conseguir ficar sem nenhuma carta na mão, acertando a técnica de resolução dessa última carta que estava em sua mão.
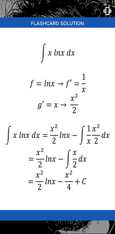
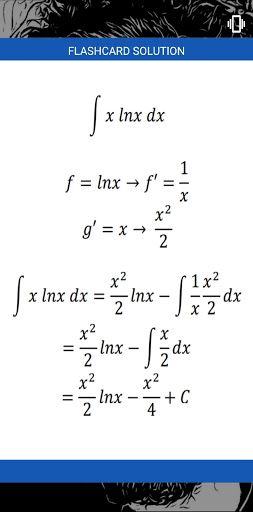
b) Flashcard Solution: Nesse nível, aplica-se as mesmas regras anteriores. Entretanto, o jogador deve acertar duas perguntas seguidas: a técnica de resolução e algum passo que é solicitado pelo jogo a depender do tipo de problema.
Os Flashcards geralmente utilizam apenas duas informações. A ideia principal do jogo é evoluir os Flashcards para mais um nível de correlação, tornando a aprendizagem mais eficaz.
Este jogo foi idealizado em seus formatos impresso e digital pelo prof. Dr. Ricardo Fragelli, da Universidade de Brasília, e existe uma versão impressa do jogo que pode ser encontrada gratuitamente em https://fantasticalizando.com
a) Flashcard: Nesse nível, é apresentada uma integral e o jogador deve acertar o tipo de técnica de integração a ser utilizada. Caso um determinado problema possa ser resolvido por mais de uma técnica, deve-se adotar a opção que aparece primeiro na lista. A cada rodada, um jogador coloca (automaticamente) uma de suas cartas na mesa e, caso o jogador acerte a técnica de resolução, a carta permanece na mesa. Caso o jogador escolha a opção incorreta, ele pega todas as cartas que estiverem na mesa. Ganha o jogo aquele que conseguir ficar sem nenhuma carta na mão, acertando a técnica de resolução dessa última carta que estava em sua mão.
b) Flashcard Solution: Nesse nível, aplica-se as mesmas regras anteriores. Entretanto, o jogador deve acertar duas perguntas seguidas: a técnica de resolução e algum passo que é solicitado pelo jogo a depender do tipo de problema.
Os Flashcards geralmente utilizam apenas duas informações. A ideia principal do jogo é evoluir os Flashcards para mais um nível de correlação, tornando a aprendizagem mais eficaz.
Este jogo foi idealizado em seus formatos impresso e digital pelo prof. Dr. Ricardo Fragelli, da Universidade de Brasília, e existe uma versão impressa do jogo que pode ser encontrada gratuitamente em https://fantasticalizando.com
Entwickler
Ricardo FragelliAktualisierungsdatum
Mai 20, 2021Veröffentlichungsdatum
Mai 20, 2021Preis
Kostenlos
Diskutiere das Spiel auf Discord

Entwickler
Mehr Spiele von Ricardo Fragelli















